1. 标题
· Land-use change effects on protozoic silicon pools in the Dajiuhu National Wetland Park, China
· 大九湖国家湿地公园土地利用变化对原生生物硅库的影响
2. 成果信息
论文信息:Qin Y.M., Puppe D., Payne R.J., Li L., Li J., Zhang Z.Q., Xie S.C. 2020. Land-use change effects on protozoic silicon pools in the Dajiuhu National Wetland Park, China. Geoderma, 114305.
论文链接: //www.sciencedirect.com/science/article/pii/S0016706119326448?dgcid=author
3. 成果团队成员
· 秦养民,厉琳,李捷,谢树成:少妇
(武汉)少妇
,流域关键带演化湖北省重点实验室;
· Daniel Puppe,Leibniz Centre for Agricultural Landscape Research (ZALF)
· Richard Payne,Department of Environment and Geography, University of York
· 张志麒,神农架大九湖国家湿地公园管理局
作者简介:秦养民,男,博士,副教授,主要从事自然地理学、湿地生态学、湖泊环境变化与人类活动、第四纪环境变化等教学和研究工作。在国内外学术期刊发表论文40余篇。担任《Frontiers of Earth Science》期刊的科学编辑,担任《European Journal of Protistology》杂志的编委。
联系方式;[email protected]
个人网页://grzy.shaofu6.com/qinyangmin/zh_CN/index.htm
· 成果介绍
近日,土壤生态学国际权威期刊《Geoderma》刊发少妇
、流域关键带演化湖北省重点实验室秦养民老师的学术论文“Land-use change effects on protozoic silicon pools in the Dajiuhu National Wetland Park, China”(大九湖国家湿地公园土地利用变化对原生生物硅库的影响)。
被誉为“地球之肾”的湿地具有涵养水源、调节气候、维持生物多样性和文化审美等多种生态服务功能,与水循环、碳循环、氮循环等全球变化过程密切相关。然而,历史时期特别是上世纪50年代以来,很多自然湿地受到人类活动的影响,湿地面积减小、结构改变、生态服务功能退化。
论文以神农架大九湖亚高山泥炭湿地为研究地点,研究了围垦农田和天然湿地中的大型真核微生物有壳变形虫群落结构及其生物硅库变化。发现与天然湿地相比,围垦农田中的物种丰富度显著降低,生物硅亏损明显,人类的排水围垦和农业活动引起的土地利用变化是影响微型生物及其生物硅变化的主要环境因子。研究工作见微知著,从微生物的角度阐明了人类活动对国家重要湿地的深刻影响,为湿地的科学管理、生物多样性保护和生态修复等有关的政府规划和决策提供了科学依据和数据支持。
论文合作者之一,英国约克大学Richard J. Payne (1978-2019)博士参与论文的早期讨论,在2019年的珠峰探险中不幸遇难,成果的发表藉以告慰。

图1 A.神农架大九湖国家公园的地理位置,B.大九湖湿地野外样方位置,C.大九湖湿地及周边野外采样工作照片
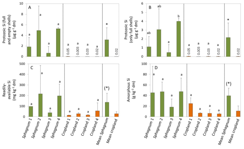
图2 围垦农田和自然湿地中的生物硅的不同组分对比图,显示农田中生物硅含量显著亏损,这与人类的农业活动密切相关


图3 神农架大九湖湿地发现的新物种Nebela jiuhuenesis Qin 2016光学显微镜照片(比例尺40微米)和构建的DNA系统发育树
神农架大九湖湿地是我国华中地区面积最大的一块亚高山泥炭湿地,同时与全球同纬度地区相比具有稀有性和罕见性,是我国首批以湿地保护为主题的国家公园之一,也是流域关键带湖北省重点实验室重要的野外研究基地。关键带重点实验室多个研究团队在大九湖湿地开展了十余年的监测和研究工作。在干湿气候和古环境重建、湿地生态与人类活动等方面取得了一系列重要进展,研究成果以第一作者身份发表在Nature Communications、Geology、PNAS等刊物上。
秦养民老师在前期的研究中发现了微型生物新物种(Nebela jiuhuensis, Qin 2016),建立了微型生物数据库及物种与湿地水位的转换函数模型,查明了这些微型生物的环境指示意义,并将其成功地应用到长江中游地区的湿地生态、环境重建、人类活动和江湖关系演化研究等领域。